Бойлер косвенного нагрева своими руками
Проблема нагрева воды в частном доме может быть решена различными путями: установкой газовой колонки, двухконтурного котла, водонагревателя, а также бойлера косвенного нагрева, который вполне можно сделать своими руками.

Самостоятельно делаем бойлер косвенного нагрева
Принцип работы бойлера косвенного нагрева основан на использовании теплоносителя отопительной системы, общего или отдельного ее контура. Бойлер представляет собой накопительный бак с установленным внутри него змеевиком, по которому проходит теплоноситель. Геометрические размеры змеевика определяются в соответствии с объемом бака, который, в свою очередь, может быть любым и зависит от потребности семьи в горячей воде. Вода, предназначенная для использования, поступает по трубе в бойлер через входную трубу, обычно расположенную снизу. Нагревается вода от змеевика равномерно по всей толще воды. Выходную трубу обычно располагают вверху, чтобы при использовании не было резких перепадов температуры. Снаружи бойлер нужно обязательно хорошо теплоизолировать, чтобы избежать потерь тепла от стенок бака.
Устанавливают бойлер косвенного нагрева обычно в одном помещении с котлом, чтобы уменьшить затраты на монтаж контура и потери тепла. Устанавливают бойлер на твердое ровное основание, обеспечивая удобный доступ ко всем кранам и крышке.
Расчет объема бойлера косвенного нагрева и проектирование змеевика
Объем бака напрямую зависит от потребности в горячей воде. Принято считать, что на каждого члена семьи достаточно от 50 до 70 литров горячей воды ежедневно. Поэтому для семьи из 3-4 человек достаточно 200-литрового бойлера. В качестве бака используют любую подходящую термостойкую емкость из антикоррозионного материала: нержавеющей стали, алюминия, пластика. В баке устанавливают входной и выходной шаровые краны.
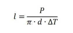
Диаметр и длина трубы для змеевика рассчитываются исходя из объема бака, материала трубы, скорости потока теплоносителя и его температуры. На каждые 10 литров бака необходимо около 1,5 кВт тепловой мощности змеевика. Змеевик обычно изготовляют из латунной трубки диаметром от 8 до 20 мм, свернутой в спираль так, чтобы витки не соприкасались – так обеспечивается максимальный контакт его греющей поверхности с нагреваемой водой. Чтобы определить общую длину трубки, необходимо вычислить необходимую мощность змеевика, после чего определить длину трубы по формуле:

Формула для вычисления обей длины трубы для бойлера
где P – тепловая мощность змеевика в кВт;
d – диаметр трубы в метрах;
ΔТ –разность температур теплоносителя и нагреваемой воды, °C.
Например, для бака 200 литров необходим змеевик с тепловой мощностью 30 кВт. Диаметр трубки для змеевика – 10 мм, или 0,01 м. Температура теплоносителя 80°С, температура поступающей воды — 15°С. По приведенной формуле вычисляем длину змеевика:

По приведенной ниже формуле вычисляем длину змеевика
Змеевик в этом случае выполняют в виде спирали диаметром 40 см. При диаметре бака в 0,5 м и высоте 1 метр такой змеевик будет иметь 12 витков с межвитковым расстоянием в 6-8 см. Для удобства намотку производят с помощью шаблона – трубы соответствующего диаметра. Ввод и вывод змеевика удобнее выполнять с одной стороны бака.

Принцип работы системы
Технология монтажа бойлера косвенного нагрева
- В металлическом или пластиковом баке необходимого объема выполняют отверстия под входные и выходные трубы для горячего водоснабжения. К отверстиям крепят шаровые краны или другие запорные элементы. Удобнее располагать отверстие для поступления воды снизу, а для отбора – сверху, при таком расположении вероятность резких перепадов температуры на выходе сведена к минимуму. В нижней части бака необходимо также установить сливной кран – он нужен для полного слива воды при очистке бака от накипи или его ремонте.
- Змеевик выполняют из трубки выбранного диаметра, согнутой в спираль сзаранее определенным количеством витков. Сгибать трубку удобнее по шаблону, например, по стальной трубе подходящего диаметра. При этом нельзя производить намотку слишком туго, иначе спираль сложно будет снять без перегибов. Спираль снимают с шаблона, к концам трубы с помощью пайки крепят резьбовые фитинги.

Образец змеевика для бойлера
- Выполняют отверстия для змеевика. К стенкам бака приваривают металлические штуцера с резьбовым соединением, к нимкрепят на резьбовые соединения латунный змеевик. Проверяют герметичность трубки с помощью сжатого воздуха от компрессора, перекрыв одно из отверстий и подавая воздух в другое. Сам змеевик при этом смачивают мыльной водой. При необходимости трубку пропаивают еще раз. Особенно важно проверить герметичность трубки при использовании в качестве теплоносителя антифриза.

Образец бойлера изнутри
- Выполняют плотно закрывающуюся крышку бака. Через крышку не должно уходить тепло, поэтому ее можно оснастить защелками. Также утепляют сам бак с помощью напыляемых современных утеплителей или пенопласта. Для более эстетичного вида можно установить бак в емкость большего размера, заполнив промежутки утеплителем по принципу термоса.

Образец бойлера выполненного своими руками
