Расчет фундаментов мелкого заложения
Расчет фундаментов мелкого заложения необходим для уточнения его геометрических размеров и выбора разновидности фундамента. Он сводится к расчету трех факторов: величины давления здания на грунт, силы давления грунта в результате морозного пучения и определение прочности рамы фундамента.

Расчет фундаментов мелкого заложения
Нагрузка здания – это совокупность передаваемых нагрузок, в упрощенном расчете – масса всего строения, распределенная на 1 м2 нижней плоскости фундамента. Сила деформации пучения определяется по справочным данным для конкретного типа грунта. Прочность рамы зависит от геометрии фундамента и применяемой арматуры.
Расчет нагрузки здания
Для того чтобы вычислить массу здания, необходимо иметь проект, учитывающий размеры строения, материалы, конструкцию и прочие его особенности. Расчет нагрузки на фундамент ведется с учетом зимней снеговой нагрузки. Способ расчета прост: вычисляют массы отдельных конструктивных частей строения, суммируют их и делят на площадь подошвы фундамента. Определяют для данного типа грунта удельное расчетное сопротивление грунта R0 и сопоставляют его с полученным значением удельной нагрузки N. Если R0 < N, пересматривают размеры или форму фундамента: выполняют его с широкой подошвой, с расширением книзу или увеличивают его ширину.
Пример расчета: кирпичный одноэтажный дом 10х8 м, со стенами из полнотелого красного кирпича шириной в 0,4 метра, с железобетонным перекрытием пола и деревянными перекрытиями потолка. Крыша – двускатная, крытая профнастилом. Постройка планируется на тяжелой суглинистой почве, регион – Москва.
По приведенной методике расчета нагрузка N = 23 т/м2.
Морозное пучение и выбор типа мелкозаглубленного фундамента
Понятие «пучинистые грунты» многих ставит в тупик. Попробуем разобраться, что это такое. Различные грунты обладают разной способностью накапливать влагу. Крупнозернистый песок, скальные породы не задерживают воду, а глины, наоборот, связывают ее, становятся пластичными и долго остаются влажными. Вода при замерзании расширяется, при этом грунт, содержащий много влаги, увеличивается в размерах. Это явление получило название «морозное пучение».
В зависимости от состава и размера частиц грунты можно разделить на 5 групп – они приведены в таблице 1.

Разновидности грунта (Типы грунтов)
В зависимости от группы грунта выбирают конструкцию мелкозаглубленного фундамента по рисунку и определяют его габаритные размеры, глубину заложения и высоту подсыпки. Вычисляют площадь нижнего основания фундамента Af.

По данным таблицы и рисунку выбираем группу фундаментов, соответствующую типу грунта III «тяжелые суглинки». Это фундамент, не заглубленный в грунт, на песчано-гравийной подсыпке. Ширина фундамента – 0,4 м; высота – 0,7 м; толщина подсыпки – 0,5 м.
Методика расчета деформаций
Расчет проводят по двум условиям:
- расчетная величина деформации пучения не превышает допустимой предельной деформации;
- относительная деформация грунта с учетом нагрузки не превышает предельной относительной для конкретного типа строения.
Предельные деформации для конкретного типа строения определяют по таблице 2.

Таблица 2 – Допустимые деформации
Чтобы определить указанные величины деформаций для конкретного строения, нужно произвести ряд сложных расчетов.
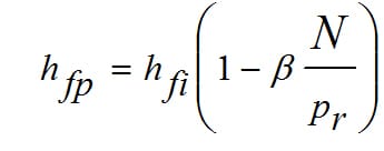
Деформацию пучения вычисляют по формуле

Формула для расчета деформации пучения
В этой формуле N – удельное давление всего строения на грунт, оно вычисляется по отдельной методике и выражается в тоннах на 1 м2.
Коэффициент b зависит от соотношения толщины подсыпки к ширине основания, он определяется по таблице 3.

Таблица 3 – Определение коэффициента
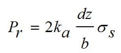
Величина Pr – на подошву от пучинистого грунта, для ленточного фундамента оно вычисляется по формуле:

Величина Pr – на подошву от пучинистого грунта
Показатель b – ширина ленты фундамента, а ss – сопротивление промерзшего грунта, его можно найти в СНиП 2.02.01-83.
Мощность слоя грунта, подверженного вспучиванию под фундаментом dz определяется как dz = df – d – hп, где df – средняя глубина промерзания, определенная по таблице 4, а величины d и hП – высота фундамента и толщина подсыпки, в метрах.
Таблица 4 – Средняя глубина промерзания грунта по регионам

Средняя глубина промерзания грунта по регионам
После расчета мощности слоя грунта dz определяют по графикам коэффициент условий работы промерзающего грунта ka определяемый по графикам в зависимости от величины dz и значения площади подошвы фундамента Af на единицу его длины.

График — коэффициент условий работы промерзающего грунта k
Деформацию пучения ненагруженного основания hfi находят по формуле из таблицы 5, соответствующей типу выбранного фундамента и его геометрическим размерам: глубины заложения фундамента d и толщины подушки hп.
Таблица 5 – Расчетные формулы для различных типов грунтов

Расчетные формулы для различных типов грунтов
-
- Определяем мощность промерзающего слоя пучинистого грунта dz = df – d – hп. Расчетная глубина промерзания df для Москвы по таблице 4 равна 1,4 м. dz = 1,4-0,7-0,5=0,2 м.
- Определяем удельную площадь фундамента на метр его длины, при ширине фундамента 0,4 м площадь равна 0,4 м2.
- По рисунку определяем коэффициент ka, он равен 0,56.
- Находим по СНиП 2.02.01-83 показатель σs – 64.
- Определяем по формуле т/м2.
- Находим по формуле м
- Находим коэффициент b по таблице 3 для фундамента ленточного типа: для выбранного соотношения толщины подсыпки к ширине основания 0,5/0,4=1,25 он равен фундамента 0,88.
- Нагрузка здания, согласно расчетам, равна 23 т/м2.
- Определяем м = 0,1 см.
Допустимая деформация пучения по таблице 2 равна 2,5 см. Условие выполняется.
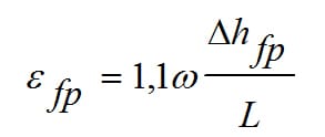
Относительную деформацию пучения с учетом жесткости рамы строения находят по формуле

Формула — для деформацию пучения с учетом жесткости рамы
Показатель w, находящийся в зависимости от коэффициента гибкости конструкций строения l по ВСН 29-85, определяют по приведенному графику.

Показатель W определяют по графику
Dhfp– разность деформаций пучения при максимуме и минимуме предзимней влажности грунта.
L – длина стены строения, м.
-
- Определяем по методике ВСН 29-85 значение показателя гибкости конструкций строения l – 0,55.
- Определяем по графику значение показателя w – 0,03.
- Определяем разность деформаций пучения по методике ВСН 29-85. Dhfp = 0,0022 м.
- Длина стен строения равна 10 и 8 м.
- Относительная деформация с учетом жесткости рамы для длинной стены м.
- Для короткой стены м
- Допустимое значение по таблице 2 – 0,0005 м. Условие выполняется.
Если в результате расчета окажется, что условия не выполняются, необходимо увеличить расчетную толщину подушки или площадь фундамента, изменив ширину основания.
